+91 96255-66843

Send us Email

Products
Search Products:

Rivastigmine USP Related Compound D

Product Code:

RTN/1004

CAS Number:

855300-09-3

Molecular Formula:

C12H15NO3

Molecular Weight:

221.25
Synonyms : 3-Acetylphenyl ethyl(methyl)carbamate

Ropinirole EP Impurity A

Product Code:

RPL/1001

CAS Number:

102842-51-3

Molecular Formula:

C16H23ClN2O2

Molecular Weight:

310.82
Synonyms : 3-Oxo Ropinirole; 4-[2-(Dipropylamino)ethyl] indoline-2,3-dione; Ropinirole USP Related Compound B

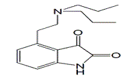
Ropinirole EP Impurity B

Product Code:

RPL/1002

CAS Number:

249622-60-4

Molecular Formula:

C16H24N2O

Molecular Weight:

260.37
Synonyms : 1,3-Dihydro-4-[2-[(2-methylpentyl)amino]ethyl]-2H-Indol-2-one