+91 96255-66843

Send us Email

Products
Search Products:

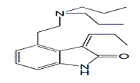
Ropinirole EP Impurity C

Product Code:

RPL/1003

CAS Number:

145570-92-9

Molecular Formula:

C19H29ClN2O

Molecular Weight:

336.90
Synonyms : Ropinirole Propylidene Impurity; (3Z)-4-[2-(Dipropylamino)ethyl]-3-propylideneindolin-2-one

Ropinirole EP Impurity D

Product Code:

RPL/1004

CAS Number:

173990-76-6

Molecular Formula:

C13H19ClN2O

Molecular Weight:

254.76
Synonyms : 4-[2-(Propylamino)ethyl]-2-indolinone hydrochloride ; Ropinirole N-Despropyl Impurity

Rosuvastatin EP Impurity A

Product Code:

RON/1001

CAS Number:

1715120-13-0

Molecular Formula:

C25H34FN3O7S

Molecular Weight:

539.62
Synonyms : (3R,5S,6E)-7-[4-(4-Fluorophenyl)-6-(1-methylethyl)-2-[methyl (2-hydroxy-2-methylpropylsulfonyl)amino]-5-pyrimidinyl]-3,5-dihydroxy- 6-heptenoic acid