+91 96255-66843

Send us Email

Products
Search Products:

Hyoscine Butylbromide EP Impurity B

Product Code:

HBB/1002

CAS Number:

552-63-6

Molecular Formula:

C9H10O3

Molecular Weight:

166.17
Synonyms : Hyoscine EP Impurity C ; Hyoscyamine EP Impurity A ; Ipratropium EP Impurity C ; Ipratropium Bromide USP RC C ; (2RS)-3-Hydroxy-2-phenylpropanoic acid

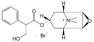
Hyoscine Butylbromide EP Impurity C

Product Code:

HBB/1003

CAS Number:

155-41-9

Molecular Formula:

C18H24BrNO4

Molecular Weight:

398.29
Synonyms : (1R,2R,4S,5S,7s)-7-[[(2S)-3-Hydroxy-2-phenylpropanoyl]oxy]-9,9-dimethyl-3-oxa-9-azoniatricyclo[3.3.1.02,4]nonane bromide ; Homatropine Methylbromide EP Impurity D

Homatropine EP Impurity A

Product Code:

HTE/1001

CAS Number:

NA

Molecular Formula:

C16H19NO3

Molecular Weight:

273.33
Synonyms : (1R,3s,5S)-8-Methyl-8-azabicyclo[3.2.1]oct-6-en-3-yl (2RS)-2-hydroxy-2-phenylacetate.