+91 96255-66843

Send us Email

Products
Search Products:

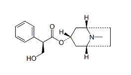
Homatropine EP Impurity B

Product Code:

HTE/1002

CAS Number:

114-49-8 ; 6533-68-2

Molecular Formula:

C17H28BrNO7

Molecular Weight:

438.31
Synonyms : (1R,2R,4S,5S,7s)-9-Methyl-3-oxa-9-azatricyclo-[3.3.1.02,4]non-7-yl (2S)-3-hydroxy-2-phenylpropanoate hydrobromide trihydrate.

Homatropine EP Impurity C

Product Code:

HTE/1003

CAS Number:

90-64-2

Molecular Formula:

C8H8O3

Molecular Weight:

152.15
Synonyms : (2RS)-2-Hydroxy-2-phenylacetic acid.

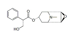
Homatropine EP Impurity D

Product Code:

HTE/1004

CAS Number:

51-55-8

Molecular Formula:

C17H23NO3

Molecular Weight:

289.37
Synonyms : (1R,3r,5S)-8-Methyl-8-azabicyclo[3.2.1]oct-3-yl (2RS)-3-hydroxy-2-phenylpropanoate.