+91 96255-66843

Send us Email

Products
Search Products:

Hyoscine Butylbromide EP Impurity D

Product Code:

HBB/1004

CAS Number:

NA

Molecular Formula:

C20H28BrNO4

Molecular Weight:

426.34
Synonyms : (1R,2R,4S,5S,7s,9r)-7-[[(2S)-3-Hydroxy-2-phenylpropanoyl]oxy]-9-methyl-9-propyl-3-oxa-9-azoniatricyclo[3.3.1.02,4]nonane

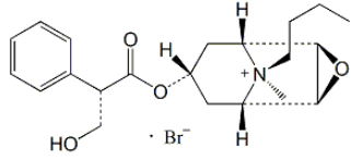
Hyoscine Butylbromide EP Impurity E

Product Code:

HBB/1005

CAS Number:

14861-14-4

Molecular Formula:

C20H28ClNO4

Molecular Weight:

381.89
Synonyms : Hyoscine N-Butyl Impurity ; (1R,2R,4S,5S,7s)-9-Butyl-3-oxa-9-azatricyclo[3.3.1.02,4]-nonan-7-yl (2S)-3-hydroxy-2-phenylpropanoate

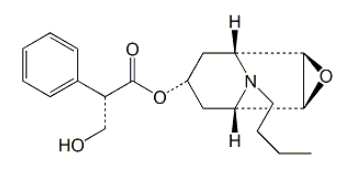
Hyoscine Butylbromide EP Impurity F

Product Code:

HBB/1006

CAS Number:

NA

Molecular Formula:

C21H30BrNO4

Molecular Weight:

440.37
Synonyms : (1R,2R,4S,5S,7s,9s)-9-Butyl-7-[[(2S)-3-hydroxy-2-phenylpropanoyl]oxy]-9-methyl-3-oxa-9-azoniatricyclo[3.3.1.02,4]nonane