+91 96255-66843

Send us Email

Products
Search Products:

Homatropine Methylbromide EP Impurity A

Product Code:

HMO/1001

CAS Number:

NA

Molecular Formula:

C17H22BrNO3

Molecular Weight:

368.27
Synonyms : (1R,3s,5S)-3-[[(2RS)-2-Hydroxy-2-phenylacetyl]oxy]-8,8-dimethyl-8-azoniabicyclo[3.2.1]oct-6-ene bromide.

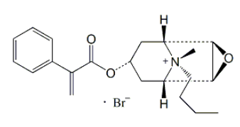
Hyoscine Butylbromide EP Impurity G

Product Code:

HBB/1007

CAS Number:

92714-23-3

Molecular Formula:

C21H28BrNO3

Molecular Weight:

422.36
Synonyms : Apobuscopan ; Hyoscine Apo-N-Butyl Impurity (Bromide) ; (1R,2R,4S,5S,7s,9r)-9-Butyl-9-methyl-7-[(2-phenylprop-2-enoyl)oxy]-3-oxa-9-azoniatricyclo[3.3.1.02,4]nonane bromide

Homatropine Methylbromide EP Impurity B

Product Code:

HMO/1002

CAS Number:

51-56-9 ; 87-00-3

Molecular Formula:

C16H22BrNO3

Molecular Weight:

356.25
Synonyms : 1R,3r,5S)-8-Methyl-8-azabicyclo[3.2.1]oct-3-yl (2RS)-2-hydroxy-2-phenylacetate.