+91 96255-66843

Send us Email

Products
Search Products:

Lincomycin EP Impurity D

Product Code:

LMC/100

CAS Number:

26389-84-4

Molecular Formula:

C18H34N2O6S

Molecular Weight:

406.54
Synonyms : Methyl 6,8-Dideoxy-6-[[[(2S,4R)-1-methyl-4-propylpyrrolidin-2-yl]carbonyl]amino]-1-thio-L-threo-α-D-galacto-octopyranoside HCl.

Lincomycin EP Impurity E

Product Code:

LMC/1005

CAS Number:

6734-79-8 ; 13380-36-4

Molecular Formula:

C9H18ClNO2

Molecular Weight:

207.70
Synonyms : (2S,4R)-1-Methyl-4-propylpyrrolidine-2-carboxylic acid HCl.

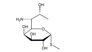
Lincomycin EP Impurity F

Product Code:

LMC/1006

CAS Number:

14810-93-6

Molecular Formula:

C9H19NO5S

Molecular Weight:

253.32
Synonyms : Methyl 6-Amino-6,8-dideoxy-1-thio-D-erythro-α-D-galactooctopyranoside.