+91 96255-66843

Send us Email

Products
Search Products:

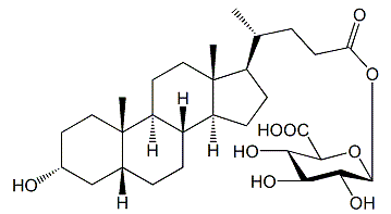
Lithocholic Acid RC 1

Product Code:

LHH/1001

CAS Number:

142780-61-8

Molecular Formula:

C30H48O9

Molecular Weight:

552.7
Synonyms : (3S,4S,5S,6S)-3,4,5-Trihydroxy-6-((R)-4-((3R,5R,8R,9S,10S,13R,14S,17R)-3-hydroxy-10,13-dimethyl-hexadecahydro-1H-cyclopenta[a]phenanthren-17-yl)pentanoyloxy)-tetrahydro-2H-pyran-2-carboxylic acid.

Lithocholic Acid RC 2

Product Code:

LHH/1002

CAS Number:

517-33-9

Molecular Formula:

C24H36O5

Molecular Weight:

404.54
Synonyms : (R)-4-((3R,5S,8R,9S,10S,13R,14S,17R)-3-Hydroxy-10,13-dimethyl-7,12-dioxo-hexadecahydro-1H-cyclopenta[a]phenanthren-17-yl)pentanoic acid.

Lithocholic Acid RC 3

Product Code:

LHH/1003

CAS Number:

5255-17-4

Molecular Formula:

C24H38O3

Molecular Weight:

374.56
Synonyms : (R)-4-((3S,8S,9S,10R,13R,14S,17R)-3-Hydroxy-10,13-dimethyl-2,3,4,7,8,9,10,11,12,13,14,15,16,17-tetradecahydro-1H-cyclopenta[a]phenanthren-17-yl)pentanoic acid.