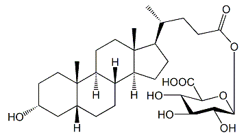
Product Code:
LHH/1001CAS Number:
142780-61-8Molecular Formula:
C30H48O9Molecular Weight:
552.7
Product Code:
LHH/1002CAS Number:
517-33-9Molecular Formula:
C24H36O5Molecular Weight:
404.54
Product Code:
LHH/1003CAS Number:
5255-17-4Molecular Formula:
C24H38O3Molecular Weight:
374.56