+91 96255-66843

Send us Email

Products
Search Products:

Neostigmine EP Impurity B

Product Code:

NGM/1002

CAS Number:

99-07-0

Molecular Formula:

C8H11NO

Molecular Weight:

137.18
Synonyms : 3-(Dimethylamino)phenol.

Neostigmine EP Impurity C

Product Code:

NGM/1003

CAS Number:

16088-19-0

Molecular Formula:

C11H16N2O2

Molecular Weight:

208.26
Synonyms : 3-(Dimethylamino)phenyl dimethylcarbamate.

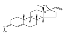
Norgestimate EP Impurity D

Product Code:

NTT/1004

CAS Number:

74183-54-3

Molecular Formula:

C21H29NO2

Molecular Weight:

327.46
Synonyms : (3Z)-13β-Ethyl-3-(hydroxyimino)-18,19-dinor-17α-pregn-4-en-20-yn-17-ol ; 17-Desacetyl (Z)-Norgestimate ; (Z)-Norelgestromin