+91 96255-66843

Send us Email

Products
Search Products:

Nicardipine USP Related Compound A

Product Code:

NCP/1001

CAS Number:

74936-72-4

Molecular Formula:

C16H16N2O6

Molecular Weight:

332.31
Synonyms : 1,4-Dihydro-2,6-dimethyl-4-(3-nitrophenyl)-3,5-pyridinedicarboxylic acid 3-methyl ester.

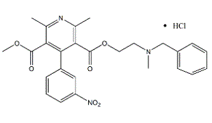
Nicardipine USP Related Compound B

Product Code:

NCP/1002

CAS Number:

59875-58-0 ; 1216817-27-4

Molecular Formula:

C26H28ClN3O6

Molecular Weight:

513.97
Synonyms : 2,6-Dimethyl-4-(3-nitrophenyl)-3,5-pyridinedicarboxylic acid methyl 2-[methyl(phenyl methyl) amino]ethyl ester HCl.

Nicardipine USP Related Compound C

Product Code:

NCP/1003

CAS Number:

21881-77-6

Molecular Formula:

C17H18N2O6

Molecular Weight:

346.33
Synonyms : 1,4-Dihydro-2,6-dimethyl-4-(3-nitrophenyl)-3,5-pyridinedicarboxylic acid 3,5-dimethyl ester.