+91 96255-66843

Send us Email

Products
Search Products:

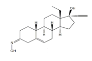
Norelgestromin USP RC A

Product Code:

NGT/1001

CAS Number:

NA

Molecular Formula:

C21H29NO2

Molecular Weight:

327.46
Synonyms : (17alpha)-13-Ethyl-17-hydroxy-18,19-dinorpregn-5-en-20-yn-3-one-3-oxime

Nicotine EP Impurity A

Product Code:

NOE/1001

CAS Number:

581-49-7

Molecular Formula:

C10H12N2

Molecular Weight:

160.22
Synonyms : (2S)-1,2,3,6-Tetrahydro-2,3'-bipyridyl.

Nicotine EP Impurity B

Product Code:

NOE/1002

CAS Number:

487-19-4

Molecular Formula:

C10H10N2

Molecular Weight:

158.2
Synonyms : 3-(1-Methyl-1H-pyrrol-2-yl)pyridine.