+91 96255-66843

Send us Email

Products
Search Products:

Olsalazine EP Impurity G

Product Code:

OLZ/1007

CAS Number:

NA

Molecular Formula:

C21H14N2O9

Molecular Weight:

438.34
Synonyms : 5-[(3-Carboxy-4-hydroxyphenyl)diazenyl]-2,4′-dihydroxybiphenyl-3,3′-dicarboxylic acid.

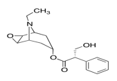
Oxitropium Bromide EP Impurity A

Product Code:

OPM/1001

CAS Number:

67009-40-9

Molecular Formula:

C18H23NO4

Molecular Weight:

317.38
Synonyms : Hyoscine N-Ethyl Analog ; (1R,2R,4S,5S,7s)-9-Ethyl-3-oxa-9-azatricyclo[3.3.1.02,4]-non-7-yl (2S)-3-hydroxy-2-phenylpropanoate

Orbifloxacin EP Impurity A

Product Code:

OFC/1001

CAS Number:

NA

Molecular Formula:

C25H33F2N5O3

Molecular Weight:

489.56
Synonyms : 1-Cyclopropyl-5,7-bis[(3R,5S)-3,5-dimethylpiperazin-1-yl]6,8-difluoro-4-oxo-1,4-dihydroquinoline-3-carboxylic acid.