+91 96255-66843

Send us Email

Products
Search Products:

Orbifloxacin EP Impurity D

Product Code:

OFC/1004

CAS Number:

126458-22-8

Molecular Formula:

C19H21F2N3O4

Molecular Weight:

393.38
Synonyms : 1-Cyclopropyl-7-[(3R,5S)-3,5-dimethylpiperazin-1-yl]-6,8-difluoro-5-hydroxy-4-oxo-1,4-dihydroquinoline-3-carboxylic acid.

Orbifloxacin EP Impurity E

Product Code:

OFC/1005

CAS Number:

2817522-38-4

Molecular Formula:

C19H20F3N3O3

Molecular Weight:

395.4
Synonyms : 1-Cyclopropyl-5-[(3R,5S)-3,5-dimethylpiperazin-1-yl]-6,7,8-trifluoro-4-oxo-1,4-dihydroquinoline-3-carboxylic acid.

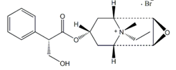
Oxitropium Bromide EP Impurity C

Product Code:

OPM/1003

CAS Number:

NA

Molecular Formula:

C19H26BrNO4

Molecular Weight:

412.32
Synonyms : Oxitropium Pseudo-Isomer ; (1R,2R,4S,5S,7s,9r)-9-Ethyl-7-[[(2S)-3-hydroxy-2-phenylpropanoyl]oxy]-9-methyl-3-oxa-9-azoniatricyclo [3.3.1.02,4]nonane