+91 96255-66843

Send us Email

Products
Search Products:

Orbifloxacin EP Impurity F

Product Code:

OFC/1006

CAS Number:

106890-70-4

Molecular Formula:

C13H7F4NO3

Molecular Weight:

301.19
Synonyms : 1-Cyclopropyl-5,6,7,8-tetrafluoro-4-oxo-1,4-dihydroquinoline-3-carboxylic acid.

Orbifloxacin EP Impurity G

Product Code:

OFC/1007

CAS Number:

166323-26-8

Molecular Formula:

C18H20F3N3O

Molecular Weight:

351.37
Synonyms : 1-Cyclopropyl-7-[(3R,5S)-3,5-dimethylpiperazin-1-yl]-5,6,8-trifluoroquinolin-4(1H)-one.

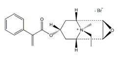
Oxitropium Bromide EP Impurity D

Product Code:

OPM/1003

CAS Number:

95778-01-1

Molecular Formula:

C19H24BrNO3

Molecular Weight:

394.3
Synonyms : (1R,2R,4S,5S,7s,9s)-9-Ethyl-9-methyl-7-[(2-phenylacryloyl)oxy]-3-oxa-9-azoniatricyclo [3.3.1.02,4]nonane ; Apo-N-Ethylhyoscine