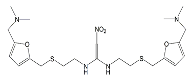
Product Code:
RTD/1001CAS Number:
72126-78-4Molecular Formula:
C22H35N5O4S2Molecular Weight:
497.67
Product Code:
RTD/1002CAS Number:
66356-53-4Molecular Formula:
C10H18N2OSMolecular Weight:
214.33
Product Code:
RTD/1003CAS Number:
73851-70-4Molecular Formula:
C13H22N4O4SMolecular Weight:
330.40