+91 96255-66843

Send us Email

Products
Search Products:

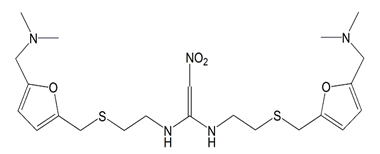
Ranitidine EP Impurity A

Product Code:

RTD/1001

CAS Number:

72126-78-4

Molecular Formula:

C22H35N5O4S2

Molecular Weight:

497.67
Synonyms : N,N-bis[2-[[[5-[(dimethylamino)methyl]furan-2-yl]methyl]sulphanyl]ethyl]-2-nitroethene-1,1-diamine;Ranitidine Related Compound B (USP);

Ranitidine EP Impurity B

Product Code:

RTD/1002

CAS Number:

66356-53-4

Molecular Formula:

C10H18N2OS

Molecular Weight:

214.33
Synonyms : 2-[[[5-[(dimethylamino)methyl]furan-2-yl]methyl]sulphanyl] ethanamine

Ranitidine EP Impurity C

Product Code:

RTD/1003

CAS Number:

73851-70-4

Molecular Formula:

C13H22N4O4S

Molecular Weight:

330.40
Synonyms : N-{2-{{{5-[(Dimethylamino)methyl]furan-2-yl}methyl}sulfinyl}ethyl}-N?-methyl-2-nitroethene-1,1-diamine