+91 96255-66843

Send us Email

Products
Search Products:

Roflumilast Related Compound 2

Product Code:

RUS/1002

CAS Number:

162401-43-6

Molecular Formula:

C17H14Cl2F2N2O3

Molecular Weight:

403.21
Synonyms : 4-(Cyclopropylmethoxy)-N-(3,5-dichloropyridin-4-yl)-3-(difluoromethoxy)benzamide.

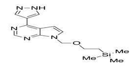
Ruxolitinib Related Compound 2

Product Code:

RLB/1002

CAS Number:

941685-27-4

Molecular Formula:

C15H21N5OSi

Molecular Weight:

315.45
Synonyms : 4-(1H-Pyrazol-4-yl)-7-((2-(trimethylsilyl)ethoxy)methyl)-7H-pyrrolo[2,3-d]pyrimidine

Ruxolitinib Related Compound 3

Product Code:

RLB/1003

CAS Number:

952518-97-7

Molecular Formula:

C9H7N5

Molecular Weight:

185.19
Synonyms : 4-(1H-Pyrazol-4-yl)-7H-pyrrolo[2,3-d]pyrimidine