Product Code:
RUS/1002CAS Number:
162401-43-6Molecular Formula:
C17H14Cl2F2N2O3Molecular Weight:
403.21
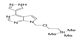
Product Code:
RLB/1002CAS Number:
941685-27-4Molecular Formula:
C15H21N5OSiMolecular Weight:
315.45
Product Code:
RLB/1003CAS Number:
952518-97-7Molecular Formula:
C9H7N5Molecular Weight:
185.19