+91 96255-66843

Send us Email

Products
Search Products:

Rotigotine EP Impurity A

Product Code:

RGI/1001

CAS Number:

112835-48-0

Molecular Formula:

C19H25NOS

Molecular Weight:

315.47
Synonyms : (6R)-5,6,7,8-Tetrahydro-6-[propyl[2-(2-thienyl)ethyl]amino]-1-naphthalenol HCl.

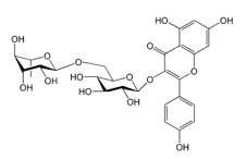
Rutoside EP Impurity B

Product Code:

RTS/1002

CAS Number:

17650-84-9

Molecular Formula:

C27H30O15

Molecular Weight:

594.52
Synonyms : 3-[[6-O-(6-Deoxy-α-L-mannopyranosyl)-β-D-glucopyranosyl]oxy]-5,7-dihydroxy-2-(4-hydroxyphenyl)-4H-1-benzopyran-4-one ; Kaempferol 3-Rutinoside

Rutoside EP Impurity C

Product Code:

RTS/1003

CAS Number:

117-39-5 ; 849061-97-8

Molecular Formula:

C15H10O7

Molecular Weight:

302.24
Synonyms : 2-(3,4-Dihydroxyphenyl)-3,5,7-trihydroxy-4H-1-benzopyran-4-one ; Quercetin