+91 96255-66843

Send us Email

Products
Search Products:

Tiamulin EP Impurity C

Product Code:

TIM/1003

CAS Number:

589-32-2

Molecular Formula:

C12H28N2S2

Molecular Weight:

264.49
Synonyms : 2-(2-(2-(Diethylamino)ethyl)disulfanyl)-N,N-diethylethanamine.

Tiamulin EP Impurity D

Product Code:

TIM/1004

CAS Number:

NA

Molecular Formula:

C28H49NO4S

Molecular Weight:

495.76
Synonyms : (3aS,4R,5S,6S,8R,9S,9aR,10R)-6-Ethenylhydroxy-4,6,9,10-tetramethyl-5-oxodecahydro-3a,9-propano-3aH-cyclopentacycloocten-8-yl [[2-(diethylamino)ethyl]sulfanyl]acetate.

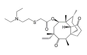
Tiamulin EP Impurity E

Product Code:

TIM/1005

CAS Number:

113323-39-0

Molecular Formula:

C28H45NO4S

Molecular Weight:

491.73
Synonyms : (3aS,4R,5S,6S,8R,9S,9aR,10R)-6-Ethenyl-4,6,9,10-tetramethyl-1,5-dioxodecahydro-3a,9-propano-3aH-cyclopentacycloocten-8-yl [[2-(diethylamino)ethyl]sulfanyl]acetate.