+91 96255-66843

Send us Email

Products
Search Products:

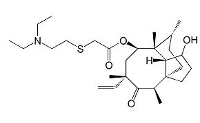
Tiamulin EP Impurity F

Product Code:

TIM/1006

CAS Number:

NA

Molecular Formula:

C28H47NO4S

Molecular Weight:

493.74
Synonyms : (1RS,3aR,4R,6S,8R,9S,9aR,10R)-6-Ethenyl-1-hydroxy-4,6,9,10-tetramethyl-5-oxodecahydro-3a,9-propano-3aH-cyclopentacycloocten-8-yl [[2-(diethylamino)ethyl]sulfanyl]acetate.

Tiamulin EP Impurity G

Product Code:

TIM/1007

CAS Number:

125-65-5

Molecular Formula:

C22H34O5

Molecular Weight:

378.5
Synonyms : (3aS,4R,5S,6S,8R,9R,9aR,10R)-6-Ethenyl-5-hydroxy-4,6,9,10-tetramethyl-1-oxodecahydro-3a,9-propano-3aH-cyclopentacycloocten-8-yl hydroxyacetate.

Tiamulin EP Impurity H

Product Code:

TIM/1008

CAS Number:

NA

Molecular Formula:

C32H51NO9S

Molecular Weight:

625.81
Synonyms : (2E)-4-[(2RS)-2-[(3aS,4R,5S,6R,8R,9R,9aR,10R)-8-[[[[2-(Diethylamino)ethyl]sulfanyl]acetyl]oxy]-5-hydroxy-4,6,9,10-tetramethyl-1-oxodecahydro-3a,9-propano-3aH-cyclopentacycloocten-6-yl]-2-hydroxyethoxy]-4-oxobut-2-enoic acid.