Product Code:
VRU/1004CAS Number:
73319-30-9Molecular Formula:
C30H53BrN2O2Molecular Weight:
553.66
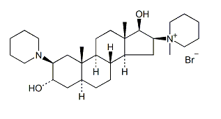
Product Code:
VRU/1004CAS Number:
784988-81-4Molecular Formula:
C32H55BrN2O3Molecular Weight:
595.69
Product Code:
VRU/1006CAS Number:
18668-29-6Molecular Formula:
C26H41NO3Molecular Weight:
415.61