+91 96255-66843

Send us Email

Products
Search Products:

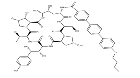
Anidulafungin Impurity C

Product Code:

ADF/1003

CAS Number:

NA

Molecular Formula:

C57H71N7O17

Molecular Weight:

1126.24
Synonyms : N-((2R,9S,11R,12R,14aS,15S,16S,20S,25aS)-23-((1S,2S)-1,2-dihydroxy-2-(4-hydroxy phenyl) ethyl)-2,11,12,15-tetrahydroxy-20-((R)-1-hydroxyethyl)-16-methyl-5,8,14,19,22,25-hexa oxo tetracosa hydro-1H-dipyrrolo[2,1-c:2',1'-I][1,4,7,10,13,16]hexaazacyclohenicosin-9-yl)-4"-(pentyloxy)-[1,1':4',1"-terphenyl]-4-carboxamide

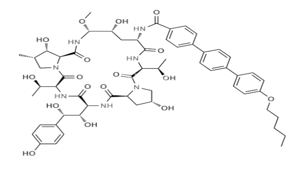
Anidulafungin Impurity D

Product Code:

ADF/1004

CAS Number:

185425-47-2

Molecular Formula:

C59H75N7O17

Molecular Weight:

1154.3
Synonyms : N-((2R,6S,9S,11R,12R,14aS,15S,16S,20S,23S,25aS)-23-((1S,2S)-1,2-Dihydroxy-2-(4-hydroxyphenyl)ethyl) -2,11,15-trihydroxy-6,20-bis((R)-1-hydroxyethyl)-12-methoxy-16-methyl-5,8,14,19,22,25-hexaoxotetracosahydro -1H-dipyrrolo[2,1-c:2',1'-l][1,4,7,10,13,16] hexaazacyclohenicosin-9-yl)-4''-(pentyloxy)-[1,1':4',1''-terphenyl]-4-carboxamide

Anidulafungin Impurity E

Product Code:

ADF/1005

CAS Number:

2099166-85-3

Molecular Formula:

C57H71N7O17

Molecular Weight:

1126.21
Synonyms : N-((2R,6S,9S,11R,12R,14aS,15S,20S,23S,25aS)-23-((1S,2S)-1,2-dihydroxy-2-(4-hydroxyphenyl)ethyl)-2,11,12,15-tetrahydroxy-6,20-bis((R)-1-hydroxyethyl)-5,8,14,19,22,25-hexaoxotetracosahydro-1H-dipyrrolo[2,1-c:2',1'-l][1,4,7,10,13,16]hexaazacyclohenicosin-9-yl)-4''-(pentyloxy)-[1,1':4',1''-terphenyl]-4-carboxamide