+91 96255-66843

Send us Email

Products
Search Products:

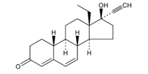
Levonorgestrel EP Impurity M

Product Code:

LGR/1013

CAS Number:

51087-61-7

Molecular Formula:

C21H26O2

Molecular Weight:

310.43
Synonyms : 13-Ethyl-17-hydroxy-18,19-dinor-17α-pregna-4,6-dien-20-yn-3-one ; Levonorgestrel 6,7-Dehydro Impurity

Vilazodone Impurity 39

Product Code:

VZD/1039

CAS Number:

1969300-03-5

Molecular Formula:

C20H19ClN2O3S

Molecular Weight:

402.9
Synonyms : 3-(4-Chloro-1-hydroxybutyl)-1-tosyl-1H-indole-5-carbonitrile.

Levonorgestrel EP Impurity N

Product Code:

LGR/1014

CAS Number:

4222-96-2

Molecular Formula:

C19H26O2

Molecular Weight:

286.41
Synonyms : 13-Ethylgon-5(10)-ene-3,17-dione ; Δ5(10)-Levodione