+91 96255-66843

Send us Email

Products
Search Products:

Vilazodone Impurity 40

Product Code:

VZD/1040

CAS Number:

93612-48-7

Molecular Formula:

C6H9BRO4

Molecular Weight:

225.0
Synonyms : 1-Ethyl 3-methyl 2-bromomalonate.

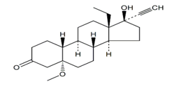
Levonorgestrel EP Impurity O

Product Code:

LGR/1015

CAS Number:

155683-60-6

Molecular Formula:

C22H32O3

Molecular Weight:

344.49
Synonyms : 13-Ethyl-17-hydroxy-5α-methoxy-18,19-dinor-17α-pregn-20-yn-3-one ; 4,5-Dihydro-5α-methoxylevonorgestrel

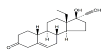
Levonorgestrel EP Impurity P

Product Code:

LGR/1016

CAS Number:

100021-05-4

Molecular Formula:

C21H28O2

Molecular Weight:

312.45
Synonyms : 13-Ethyl-17-hydroxy-18,19-dinor-17α-pregn-5-en-20-yn-3-one ; Δ5-Levonorgestrel