Product Code:
LGR/1017CAS Number:
1038-28-4Molecular Formula:
C20H30O2Molecular Weight:
302.45
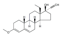
Product Code:
LGR/1018CAS Number:
2322-77-2Molecular Formula:
C20H28O2Molecular Weight:
300.44
Product Code:
LGR/1019CAS Number:
176254-10-7Molecular Formula:
C22H30O2Molecular Weight:
326.47