+91 96255-66843

Send us Email

Products
Search Products:

Osimertinib Impurity 9

Product Code:

OTB/1009

CAS Number:

1421373-36-5

Molecular Formula:

C28H34ClN7O2

Molecular Weight:

536.1
Synonyms : 3-Chloro-N-(2-((2-(dimethylamino)ethyl)(methyl)amino)-4-methoxy-5-((4-(1-methyl-1H-indol-3-yl)pyrimidin-2-yl)amino)phenyl)propanamide.

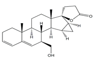
Drospirenone EP Impurity I

Product Code:

DPO/1009

CAS Number:

2896199-04-3

Molecular Formula:

C24H32O3

Molecular Weight:

368.51
Synonyms : 7β-(Hydroxymethyl)-15α,16α-dihydro-3′H-cyclopropa[15,16]-17α-pregna-3,5-diene-21,17carbolactone ; 7β-Hydroxymethyldiene Drospirenone

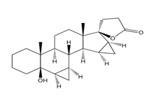
Drospirenone EP Impurity J

Product Code:

DPO/1010

CAS Number:

NA

Molecular Formula:

C24H34O3

Molecular Weight:

370.52
Synonyms : (2'S,5R,6R,7R,8R,9S,10R,13S,14S,15S,16S)-Octadecahydro-5-hydroxy-10,13-dimethylspiro[17H-dicyclopropa[6,7:15,16] cyclopenta[a]phenanthrene-17,2’(5’H)-furan]-5’(2H)-one ; 6β,7β:15β,16β-Dimethylene-5β-hydroxy-17α-pregnane-21,17-carbolactone