+91 96255-66843

Send us Email

Products
Search Products:

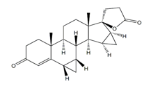
Drospirenone EP Impurity K

Product Code:

DPO/1011

CAS Number:

889652-31-7

Molecular Formula:

C24H30O3

Molecular Weight:

366.49
Synonyms : 3-Oxo-6β,7β,15α,16α-tetrahydro-3′H,3″H-dicyclopropa[6,7:15,16]-17α-pregn-4-ene-21,17-carbolactone ; 6α,7α-Drospirenone

Osimertinib Impurity 10

Product Code:

OTB/1010

CAS Number:

NA

Molecular Formula:

C29H34N6O3

Molecular Weight:

514.6
Synonyms : 2-Acrylamido-N-(2-(dimethylamino)ethyl)-5-methoxy-N-methyl-4-((4-(1-methyl-1H-indol-3-yl)pyridin-2-yl)amino)aniline oxide.

Osimertinib Impurity 11

Product Code:

OTB/1011

CAS Number:

NA

Molecular Formula:

C23H21N5O3

Molecular Weight:

415.5
Synonyms : N-(2-hydroxy-4-methoxy-5-((4-(1-methyl-1H-indol-3-yl)pyrimidin-2-yl)amino)phenyl)acrylamide.