+91 96255-66843

Send us Email

Products
Search Products:

Baricitinib Impurity 4

Product Code:

BCB/1004

CAS Number:

NA

Molecular Formula:

C16H17N7O2S

Molecular Weight:

371.42
Synonyms : 2-(3-(4-(7H-pyrrolo[2,3-d]pyrimidin-2-yl)-1H-pyrazol-1-yl)-1-(ethylsulfonyl)azetidin-3-yl)acetonitrile.

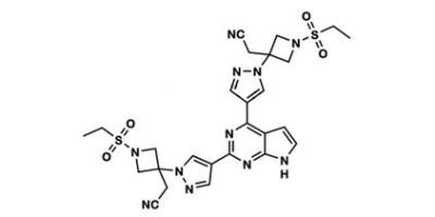
Baricitinib Impurity 5

Product Code:

BCB/1005

CAS Number:

NA

Molecular Formula:

C26H29N11O4S2

Molecular Weight:

623.7
Synonyms : 2-(3-(4-(4-(1-(3-(Cyanomethyl)-1-(ethylsulfonyl)azetidin-3-yl)-1H-pyrazol-4-yl)-7H-pyrrolo[2,3-d]pyrimidin-2-yl)-1H-pyrazol-1-yl)-1-(ethylsulfonyl)azetidin-3-yl)acetonitrile

Diazepam EP Impurity F

Product Code:

DZP/1006

CAS Number:

31269-33-7

Molecular Formula:

C16H13ClN2O

Molecular Weight:

284.7
Synonyms : 7-Chloro-2-methoxy-5-phenyl-3H-1,4-benzodiazepine