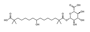
Product Code:
BPA/1005CAS Number:
NAMolecular Formula:
C25H44O11Molecular Weight:
520.6
Product Code:
BST/1006CAS Number:
2767509-00-0Molecular Formula:
C32H46N4O3Molecular Weight:
534.75
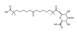
Product Code:
BPA/1006CAS Number:
NAMolecular Formula:
C25H42O11Molecular Weight:
518.6