+91 96255-66843

Send us Email

Products
Search Products:

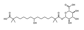
Bempedoic Acid Impurity 5

Product Code:

BPA/1005

CAS Number:

NA

Molecular Formula:

C25H44O11

Molecular Weight:

520.6
Synonyms : (2S,3S,4S,5R,6S)-6-((14-Carboxy-8-hydroxy-2,2,14-trimethylpentadecanoyl)oxy)-3,4,5-trihydroxytetrahydro-2H-pyran-2-carboxylic acid

Bilastin Impurity C

Product Code:

BST/1006

CAS Number:

2767509-00-0

Molecular Formula:

C32H46N4O3

Molecular Weight:

534.75
Synonyms : 2-(4-(2-(4-(1-(2-Ethoxyethyl)-1H-benzo[d]imidazol-2-yl)piperidin-1-yl)ethyl)phenyl)-N-(1-hydroxy-2-methylpropan-2-yl)-2-methylpropanamide ; Bilastine Amide Impurity.

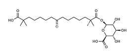
Bempedoic Acid Impurity 6

Product Code:

BPA/1006

CAS Number:

NA

Molecular Formula:

C25H42O11

Molecular Weight:

518.6
Synonyms : (2S,3S,4S,5R,6S)-6-((14-Carboxy-2,2,14-trimethyl-8-oxopentadecanoyl)oxy)-3,4,5-trihydroxytetrahydro-2H-pyran-2-carboxylic acid