+91 96255-66843

Send us Email

Products
Search Products:

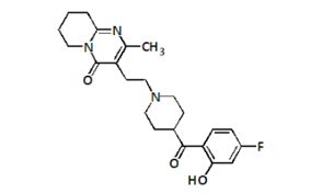
Risperidone EP Impurity G

Product Code:

RS/1003

CAS Number:

152542-00-2

Molecular Formula:

C23H28FN3O3

Molecular Weight:

413.49
Synonyms : 3-[2-[4-(4-fluoro-2-hydroxybenzoyl)piperidin-1-yl]ethyl]-2-methyl-6,7,8,9-tetrahydro-4H-pyrido[1,2-a]pyrimidin-4-one

Risperidone Trans N-Oxide

Product Code:

RS/1005

CAS Number:

832747-55-4

Molecular Formula:

C23H27FN4O3

Molecular Weight:

426.48
Synonyms : 3-[2-[4-(6-Fluoro-1,2-benzisoxazol-3-yl)-1-oxido-1-piperidinyl]ethyl]-6,7,8,9-tetrahydro-2-methyl-4H-pyrido[1,2-a]pyrimidin-4-one

Desloratadine EP Impurity A

Product Code:

DSL/1001

CAS Number:

298220-99-2

Molecular Formula:

C19H20ClFN2

Molecular Weight:

330.83
Synonyms : 8-Chloro-11-fluoro-6,11-dihydro-11-(4-piperidinyl)-5H-benzo[5,6]cyclohepta[1,2-b]pyridine