+91 96255-66843

Send us Email

Products
Search Products:

Vildagliptin Diazabicycloundecene impurity

Product Code:

VGN/1010

CAS Number:

6674-22-2

Molecular Formula:

C9H16N2

Molecular Weight:

152.24
Synonyms : 2,3,4,6,7,8,9,10-Octahydropyrimido[1,2-a]azepine.

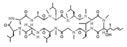
Cyclosporin Impurity F

Product Code:

CSR/1006

CAS Number:

NA

Molecular Formula:

C62H111N11O12

Molecular Weight:

1202.6
Synonyms : (3S,6S,9S,12R,18S,21S,24S,30S)-15,21,30-triethyl-33-((1R,2R,E)-1-hydroxy-2-methylhex-4-en-1-yl)-6,9,18,24-tetraisobutyl-3-isopropyl-1,4,7,10,12,19,25,28-octamethyl-1,4,7,10,13,16,19,22,25,28,31-undecaazacyclotritriacontan-2,5,8,11,14,17,20, 23,26,29,32-undecaone

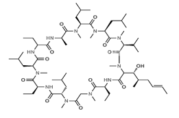
Cyclosporin Impurity G

Product Code:

CSR/1007

CAS Number:

74436-00-3

Molecular Formula:

C62H111N11O12

Molecular Weight:

1202.6
Synonyms : Geclosporin ; 7-L-Norvalinecyclosporin A ; Cyclo[(2S,3R,4R,6E)-3-hydroxy-4-methyl-2-(methylamino)-6-octenoyl-L-norvalyl-N-methylglycyl-N-methyl-L-leucyl-L-valyl-N-methyl-L-leucyl-L-alanyl-D-alanyl-N-methyl-L-leucyl-N-methyl-L-leucyl-N-methyl-L-valyl]