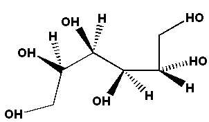
Product Code:
MLL/1001CAS Number:
50-70-4Molecular Formula:
C6H14O6Molecular Weight:
182.2
Product Code:
MLL/1002CAS Number:
32860-62-1Molecular Formula:
C18H34O16Molecular Weight:
506.5
Product Code:
CPR/1001CAS Number:
2519572-26-8Molecular Formula:
C32H23NO4Molecular Weight:
485.5