+91 96255-66843

Send us Email

Products
Search Products:

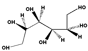
Maltitol EP Impurity A

Product Code:

MLL/1001

CAS Number:

50-70-4

Molecular Formula:

C6H14O6

Molecular Weight:

182.2
Synonyms : D-glucitol

Maltitol EP Impurity B

Product Code:

MLL/1002

CAS Number:

32860-62-1

Molecular Formula:

C18H34O16

Molecular Weight:

506.5
Synonyms : α-D-glucopyranosyl-(1→4)-α-D-glucopyranosyl-(1→4)-D-glucitol

Cloperastine Impurity 1

Product Code:

CPR/1001

CAS Number:

2519572-26-8

Molecular Formula:

C32H23NO4

Molecular Weight:

485.5
Synonyms : (E)-2-((6-Hydroxy-[1,1'-biphenyl]-3-yl)((6-hydroxy-[1,1'-biphenyl]-3-yl)imino)methyl)benzoic acid