+91 96255-66843

Send us Email

Products
Search Products:

Flecainide Impurity F

Product Code:

FLD/1006

CAS Number:

NA

Molecular Formula:

C18H22F6N2O3

Molecular Weight:

428.4
Synonyms : N-((4-Methylpiperidin-2-yl)methyl)-2,5-bis(2,2,2-trifluoroethoxy)benzamide

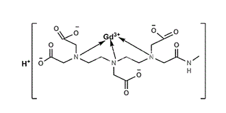
Gadodiamide EP Impurity A

Product Code:

GDD/1001

CAS Number:

NA

Molecular Formula:

C15H23GdN4O9

Molecular Weight:

560.6
Synonyms : Hydrogen[3,6-bis(carboxylatomethyl)-9-[(methylcarbamoyl)methyl]-3,6,9-triazaundecanedioato-κ3N3,N6,N9-gadolinate](1-)

Gadodiamide EP Impurity B

Product Code:

GDD/1002

CAS Number:

80529-93-7

Molecular Formula:

C14H20GdN3O102

Molecular Weight:

547.57
Synonyms : Dihydrogen[3,6,9-tris(carboxylatomethyl)-3,6,9-triazaundecanedioato-κ3N3,N6,N9-gadolinate](2-)