Product Code:
FLD/1006CAS Number:
NAMolecular Formula:
C18H22F6N2O3Molecular Weight:
428.4
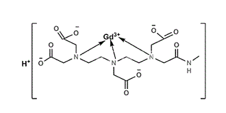
Product Code:
GDD/1001CAS Number:
NAMolecular Formula:
C15H23GdN4O9Molecular Weight:
560.6
Product Code:
GDD/1002CAS Number:
80529-93-7Molecular Formula:
C14H20GdN3O102Molecular Weight:
547.57