+91 96255-66843

Send us Email

Products
Search Products:

Formoterol EP Impurity G

Product Code:

FTL/1007

CAS Number:

64-13-1

Molecular Formula:

C10H15NO

Molecular Weight:

165.23
Synonyms : (2RS)-1-(4-methoxyphenyl)propan-2-amine

Gabapentin Di-Nitrile

Product Code:

GPN/1006

CAS Number:

4172-99-0

Molecular Formula:

C9H12N2

Molecular Weight:

148.2
Synonyms : 1-Cyanocyclohexaneacetonitrile 1-Cyanomethyl-1-cyclohexanenitrile

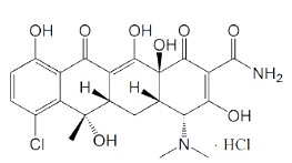
Chlortetracycline EP Impurity A

Product Code:

CAL/1001

CAS Number:

101342-45-4 (HCl) ; 14297-93-9 (Base) ;

Molecular Formula:

C22H24Cl2N2O8

Molecular Weight:

515.34
Synonyms : (4R,4aS,5aS,6S,12aS)-7-Chloro-4-(dimethylamino)-3,6,10,12,12a-pentahydroxy-6-methyl-1,11-dioxo-1,4,4a,5,5a,6,11,12a-octahydrotetracene-2-carboxamide hydrochloride ;4-Epi Chlortetracycline ;