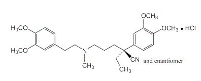
Product Code:
VPL/1008CAS Number:
190850-49-8(HCl salt) 67018-83-1(base)Molecular Formula:
C26H37ClN2O4Molecular Weight:
477.04
Product Code:
VPL/1009CAS Number:
2893-91-6(Base) ;1794-55-4(HCl salt)Molecular Formula:
C26H36N2O4Molecular Weight:
440.58
Product Code:
FSN/1011CAS Number:
28416-82-2Molecular Formula:
C21H26F2O5Molecular Weight:
396.42