+91 96255-66843

Send us Email

Products
Search Products:

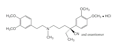
Verapamil EP Impurity H

Product Code:

VPL/1008

CAS Number:

190850-49-8(HCl salt) 67018-83-1(base)

Molecular Formula:

C26H37ClN2O4

Molecular Weight:

477.04
Synonyms : (2RS)-2-(3,4-Dimethoxyphenyl)-5-[[2-(3,4-dimethoxyphenyl)ethyl] (methyl)amino]-2-ethylpentanenitrile hydrochloride ;

Verapamil EP Impurity I

Product Code:

VPL/1009

CAS Number:

2893-91-6(Base) ;1794-55-4(HCl salt)

Molecular Formula:

C26H36N2O4

Molecular Weight:

440.58
Synonyms : 4-((3,4-Dimethoxyphenethyl)(methyl)amino)-2-(3,4-dimethoxyphenyl)-2-isopropylbutanenitrile; D 517; α-[2-[[2-(3,4-Dimethoxyphenyl)ethyl]methylamino]ethyl]-3,4-dimethoxy-α-(1-methylethyl)benzeneacetonitrile;

Fluticasone propionate related compound J

Product Code:

FSN/1011

CAS Number:

28416-82-2

Molecular Formula:

C21H26F2O5

Molecular Weight:

396.42
Synonyms : 6α,9-Difluoro-11β,17a-dihydroxy-16α-methyl-3-oxo-androsta-1,4-diene-17β-carboxylic acid ;Fluticasone Carboxylic Acid ;Fluticasone 17-beta-Carboxylic Acid ;