+91 96255-66843

Send us Email

Products
Search Products:

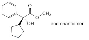
Glycopyrronium Bromide EP Impurity L

Product Code:

GPB/1012

CAS Number:

19833-96-6

Molecular Formula:

C14H18O3

Molecular Weight:

234.29
Synonyms : Methyl α-Cyclopentylmandelate; α-Cyclopentyl-α-hydroxy-benzeneacetic Acid Methyl Ester; α-Cyclopentyl-mandelic Acid Methyl Ester; Methyl Cyclopentylphenylglycolate;Glycopyrrolate Bromide - Impurity L; Methyl 2-cyclopentyl-2-hydroxy-2-phenylacetate; Glycopyrrolate Related Compound L (USP);

Glycopyrronium Bromide EP Impurity M

Product Code:

GPB/1013

CAS Number:

5422-88-8

Molecular Formula:

C12H14O

Molecular Weight:

174.24
Synonyms : Cyclopentylphenylmethanone;

Glycopyrronium Bromide EP Impurity N

Product Code:

GPB/1014

CAS Number:

51186-83-5

Molecular Formula:

C19H28BrNO3

Molecular Weight:

398.34
Synonyms : Pyrrolidinium, 3-[[(2R)-cyclopentylhydroxyphenylacetyl]oxy]-1,1-dimethyl-, bromide, (3S)-rel; erythro-3-Hydroxy-1,1-dimethylpyrrolidinium bromide α-cyclopentylmandelate; erythro-Glycopyrronium Bromide;