Product Code:
NFL/1011CAS Number:
70459-07-3Molecular Formula:
C15H16FN3O3Molecular Weight:
305.30
Product Code:
CFM/1006CAS Number:
175032-97-0Molecular Formula:
C30H30N10O12S4Molecular Weight:
850.88
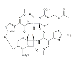
Product Code:
CFM/1007CAS Number:
NAMolecular Formula:
C22H22N8O9S3Molecular Weight:
638.65