+91 96255-66843

Send us Email

Products
Search Products:

Cefixime Methyl Ester

Product Code:

CXM/1007

CAS Number:

88621-01-6

Molecular Formula:

C17H17N5O7S2

Molecular Weight:

467.48
Synonyms : (6R-[6a-7R(Z)]-7-[(2-Amino-4-thiazolyl)(methoxy carbonyl methoxy)imino]acetyl] amino]-3-ethenyl-8-oxo-5-thia-1-azabicyclo[4.2.0]oct-2-ene-2-carboxylic Acid.

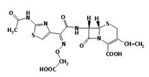
Cefixime EP Impurity G

Product Code:

CXM/1008

CAS Number:

NA

Molecular Formula:

C18H17N5O8S2

Molecular Weight:

495.05
Synonyms : (6R,7R)-7-[[(Z)-2-(2-Acetylaminothiazol-4-yl)-2-[(carboxymethoxy)imino] acetyl] amino]-3-ethenyl-8-oxo-5-thia-1-azabicyclo[4.2.0]oct-2-ene-2-carboxylic acid.

N-Nitroso Metronidazole EP Impurity A

Product Code:

MRZ/1008

CAS Number:

NA

Molecular Formula:

C4H4N4O3

Molecular Weight:

156.1
Synonyms : 2-Methyl-5-nitro-1-nitroso-1H-imidazole