+91 96255-66843

Send us Email

Products
Search Products:

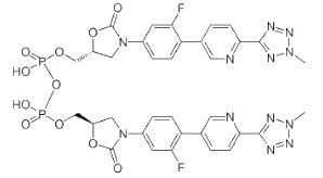
Tedizolid Diphosphate Dimer

Product Code:

TZD/1010

CAS Number:

1220910-90-6

Molecular Formula:

C34H30F2N12O11P2

Molecular Weight:

882.62
Synonyms : P,​P'-​Bis[[(5R)​-​3-​[3-​Fluoro-​4-​[6-​(2-​methyl-​2H-​tetrazol-​5-​yl)​-​3-​pyridinyl]​phenyl]​-​2-​oxo-​5-​oxazolidinyl]​methyl]diphosphoric Acid Ester ;

Tedizolid Phosphate Dimer

Product Code:

TZD/1011

CAS Number:

1256966-02-5

Molecular Formula:

C34H29F2N12O8P

Molecular Weight:

802.64
Synonyms : Bis(((R)-3-(3-fluoro-4-(6-(2-methyl-2H-tetrazol-5-yl)pyridin-3-yl)phenyl)-2-oxooxazolidin-5-yl)methyl) hydrogen phosphate ;Tedizolid Impurity 24 ;

Eltrombopag N-Oxide Impurity

Product Code:

ELT/1005

CAS Number:

2734533-17-4

Molecular Formula:

C25H22N4O5

Molecular Weight:

458.47
Synonyms : 3'-(2-(1-(3,4-Dimethylphenyl)-3-methyl-5-oxo-1H-pyrazol-4(5H)-ylidene)-1-hydroxyhydrazinyl)-2'-hydroxy-[1,1'-biphenyl]-3-carboxylic Acid;