+91 96255-66843

Send us Email

Products
Search Products:

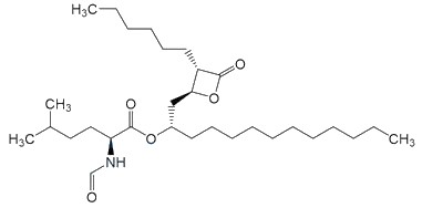
(S,S,R,R)-Orlistat

Product Code:

OST/1009

CAS Number:

111466-62-7

Molecular Formula:

C29H53NO5

Molecular Weight:

495.73
Synonyms : N-Formyl-L-leucine (1S)-1-[[(2R,3R)-3-hexyl-4-oxo-2-oxetanyl] methyl] dodecyl Ester; [2R-[2α(S*),3β]]-N-Formyl-L-leucine 1-[(3-Hexyl-4-oxo-2-oxetanyl)methyl]dodecyl Ester;

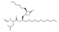
(S,R,R,R)-Orlistat

Product Code:

OST/1010

CAS Number:

111466-61-6

Molecular Formula:

C29H53NO5

Molecular Weight:

495.75
Synonyms : (R)-1-((2R,3R)-3-Hexyl-4-oxooxetan-2-yl)tridecan-2-yl formyl-L-leucinate; N-Formyl-L-leucine (1R)-1-[[(2R,3R)-3-Hexyl-4-oxo-2-oxetanyl]methyl]dodecyl Ester;

5-Methyl-L-norleucine Orlistat Analogue

Product Code:

OST/1011

CAS Number:

1356847-30-7

Molecular Formula:

C30H55NO5

Molecular Weight:

509.77
Synonyms : (S)-1-((2S,3S)-3-Hexyl-4-oxooxetan-2-yl)tridecan-2-yl (S)-2-formamido-5-methylhexanoate; L-Norleucine, N-formyl-5-methyl-, (1S)-1-[[(2S,3S)-3-hexyl-4-oxo-2-oxetanyl] methyl]dodecyl ester; N-Formyl-5-methyl-L-norleucine (1S)-1-[[(2S,3S)-3-hexyl-4-oxo-2-oxetanyl]methyl]dodecyl Ester;