+91 96255-66843

Send us Email

Products
Search Products:

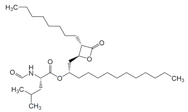
Octyl Orlistat

Product Code:

OST/1012

CAS Number:

1243011-56-4

Molecular Formula:

C31H57NO5

Molecular Weight:

523.8
Synonyms : (S)-1-((2S,3S)-3-Octyl-4-oxooxetan-2-yl)tridecan-2-yl formyl-L-leucinate; L-Leucine, N-formyl-, (1S)-1-[[(2S,3S) -3-octyl-4-oxo-2-oxetanyl]methyl]dodecyl ester; N-Formyl-L-leucine (1S)-1-[[(2S,3S)-3-octyl-4-oxo-2-oxetanyl]methyl]dodecyl Ester;

N,N',-Dicyclohexylurea

Product Code:

OST/1013

CAS Number:

2387-23-7

Molecular Formula:

C13H24N2O

Molecular Weight:

224.35
Synonyms : 1,3-Dicyclohexylurea

Orlistat Delactone

Product Code:

OST/1014

CAS Number:

NA

Molecular Formula:

C29H55NO6

Molecular Weight:

513.8
Synonyms : 5-((Formylleucyl)oxy)-2-hexyl-3-hydroxyhexadecanoic acid