+91 96255-66843

Send us Email

Products
Search Products:

Bacampicillin EP Impurity F

Product Code:

BLL/1006

CAS Number:

52-66-4

Molecular Formula:

C5H11NO2S

Molecular Weight:

149.2
Synonyms : (2RS)-2-Amino-3-methyl-3-sulfanylbutanoic acid

Bacampicillin EP Impurity G

Product Code:

BLL/1007

CAS Number:

24461-61-8; 19883-41-1 (HCl salt)

Molecular Formula:

C9H11NO2

Molecular Weight:

165.2
Synonyms : Methyl (2R)-2-amino-2-phenylacetate

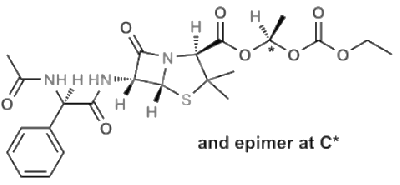
Bacampicillin EP Impurity H

Product Code:

BLL/1008

CAS Number:

NA

Molecular Formula:

C23H29N3O8S

Molecular Weight:

507.6
Synonyms : (1RS)-1-[(Ethoxycarbonyl)oxy]ethyl (2S,5R,6R)-6-[[(2R) -2-(acetylamino)-2-phenylacetyl]amino]-3,3-dimethyl-7-oxo-4-thia-1-azabicyclo[3.2.0]heptane-2-carboxylate