+91 96255-66843

Send us Email

Products
Search Products:

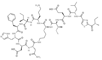
Bacitracin EP Impurity C

Product Code:

BCI/1003

CAS Number:

NA

Molecular Formula:

C64H99N17O16S

Molecular Weight:

1394.7
Synonyms : 4,10-Anhydro[N-[[(4R)-2-[(1S,2S)-1-amino-2-methylbutyl]-4,5-dihydro-1,3-thiazol-4-yl]carbonyl]-L-leucyl-D-α-glutamyl-L-valyl-L-lysyl-D-ornithyl-L-valyl-D-phenylalanyl-L-histidyl-D-α-aspartyl-L-asparagine]

Bacitracin EP Impurity D

Product Code:

BCI/1004

CAS Number:

1403-02-7

Molecular Formula:

C63H97N17O16S

Molecular Weight:

1380.6
Synonyms : 4,10-Anhydro[N-[[(4R)-2-[(1S)-1-amino-2-methylpropyl]-4,5-dihydro-1,3-thiazol-4-yl]carbonyl]-L-leucyl-D-α-glutamyl-L-valyl-L-lysyl-D-ornithyl-L-valyl-D-phenylalanyl-L-histidyl-D-α-aspartyl-L-asparagine]

Bacitracin EP Impurity E

Product Code:

BCI/1005

CAS Number:

22601-63-4

Molecular Formula:

C66H98N16O17S

Molecular Weight:

1419.7
Synonyms : 4,10-Anhydro[N-[[2-[(2S)-2-methyl-1-oxobutyl]-1,3-thiazol-4-yl]carbonyl]-L-leucyl-D-α-glutamyl-L-isoleucyl-L-lysyl-D-ornithyl-L-isoleucyl-D-phenylalanyl-L-histidyl-D-α-aspartyl-L-asparagine]