+91 96255-66843

Send us Email

Products
Search Products:

Pantoprazole Impurity D + F Mixture

Product Code:

PT/1011

CAS Number:

NA

Molecular Formula:

C17H17F2N3O4S+C17H17F2N3O4S

Molecular Weight:

397.40 + 397.40
Synonyms : A mixture of 6-(Difluoromethoxy)-2-[[(3,4-dimethoxy-2-pyridinyl)methyl]sulfinyl]-3-methyl-1H-benzimidazole and 5-(Difluoromethoxy)-2-[[(3,4-dimethoxy-2-pyridinyl)methyl] sulfinyl]-3-methyl-1H-benzimidazole.

N-Nitroso Metamizole EP Impurity E

Product Code:

MML/1007

CAS Number:

NA

Molecular Formula:

C12H14N4O5S

Molecular Weight:

326.33
Synonyms : ((1,5-dimethyl-3-oxo-2-phenyl-2,3-dihydro-1H-pyrazol-4-yl)(nitroso)amino)methanesulfonic acid

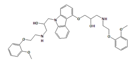
Carvedilol Related Compound A

Product Code:

CLL/1009

CAS Number:

1198090-73-1

Molecular Formula:

C36H43N3O7

Molecular Weight:

629.74
Synonyms : 1-(4-(2-hydroxy-3-(2-(2-methoxyphenoxy)ethylamino) propoxy)-9H-carbazol-9-yl)-3-(2-(2-methoxyphenoxy) ethylamino)propan-2-ol.